时间:2025-09-25 浏览:次
上期(long long ago)说到,如果我们迎着来流方向开孔,测量出流体流动产生的动压,就能换算出流速和流量。市面上的这类动压式流量计常常被称作“巴”类流量计,比如皮托巴、阿牛巴、普洛巴、威力巴……它们的工作原理是什么?各种“巴”之间又有什么区别呢?

图 1 Armstrong公司的威力巴(Verabar)流量传感器
实际上,“巴”类流量计的无法直接测量出流体的动压,它通过总压减静压的方式来得到动压值。下图是简化版的原理图,用一个迎着来流方向的引压管测量总压,再用另一个不是迎着来流方向的引压管测量静压,总压减静压就得到了动压。

图 2 管道中流体总压和静压的测量过程
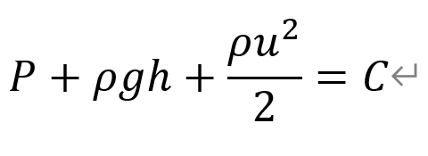
这背后的核心假设是理想流体在流动过程中机械能守恒,其数学表达式就是伯努利方程。

式中的三部分的单位都是Pa,它们可以被拆分理解为:

在上图中,迎着来流方向开孔处的流速降至0,而水平管路h维持不变,因此两个引压管所测量的压力差就是由流速转化而来的动压,即:

这就是理想流体的动压和流速的数学关系。对于真实流体通常需要乘上对应的修正系数,但方程的基本形式是不变的。
这种利用动压测量流速的思路来源于18世纪法国工程师Henri Pitot的发明,因此这类装置被命名为皮托管(Pitot tube)。时至今日皮托管依旧是飞机上测量空速的重要元件,在机头附近都能看见它的身影。

图 3 空客A321的皮托管
回到我们的“巴”类流量计,它其实就是压力单位“bar”的音译,比如阿牛巴就是“Annubar”,威力巴就是“Verabar”等,这大概是代表了它们利用压力来测量流量的核心原理。下面对几种代表性的产品作简单介绍。
1. L型皮托管
L型皮托管通常用来测量风速,配合一个数显的差压表构成一套手持的测量设备。它的测压结构是最“传统”的套管结构,通过侧面开孔的方式来测量静压。

图 4 某品牌皮托管风速仪

图 5 L型皮托管
2. S型皮托管
L型皮托管由于存在套管结构,加工比较困难,因此大多数产品如今都改成了前后两根管并在一起的形式,某种程度上像是S的形状(哪儿S了?),因此得名。

图 6 S型皮托管
3. 一体式皮托管流量计
在S型皮托管的基础上,仪表厂商对皮托管的形状做了进一步改进,取消了S型的弯折结构,整体采用了直管设计,更加简洁美观。此外,原本需要额外配套的差压变送器、积算仪等被整合到了一起,通过表头可以实时显示流量(包括温度、压力、质量流量等)的数值,这就是将一次元件和二次元件集成到了一起的一体式皮托管流量计。常见的品牌有德国测司仪表(CS Instruments)和德国希尔思(SUTO)。

图 7 德国希尔思(SUTO)S430皮托管流量计
这种直管取压方式的好处是测量高湿度的气体时不用担心凝露堵塞的问题。由于总压管的取压点压力比管内静压更大(因为加上了动压值),处于近饱和状态的含水气体就有可能被“压榨”出液态水,也就是凝露。垂直的取压管可以让凝露直接向下流走,因而相比传统的水平取压管具有一定的优势。

图 8 希尔思皮托管流量计的垂直取压孔设计
与传统皮托管一样,这种一体式流量计的取压孔需要安装在管路中心处,即实际感应的流速不是管内的平均流速,而是最大流速(因为管壁对流体的粘滞作用)。虽然此差距可以通过标定解决,但仍在一定程度上限制了它的精度(产品手册写的是±1.5%读数±0.3%满量程)。

图 9 皮托管流量计的安装位置
4. 均速管流量计

图 10 均速管流量计工作原理
顾名思义,均速管流量计测量管内流体的平均流速。它的测量装置完全插入管内,并通过多个取压孔(或者直接是长条形狭缝)得到流体总压的平均值。由于测量元件长得像笛子,故又名笛型流量计。代表产品有罗斯蒙特的阿牛巴(Annubar)系列和VERIS的威力巴(Verabar)系列等。

图 11 罗斯蒙特(Rosemount)的阿牛巴系列流量计

图 12 VERIS的威力巴(Verabar)系列流量计
可以看到,阿牛巴和威力巴最大的不同之处在于测量元件的几何形状,阿牛巴呈现T字型,以一个平板迎着来流方向,总压孔变成了垂直方向的狭缝,静压孔开在两边背流处;威力巴则是一个子弹头的形状,整体更加流线型,静压孔开在两侧。此外它们还可能经过特殊的表面处理,以改善边界层的扰动情况。二者的整体测量精度都在1%左右。
以上就是市面上主流的几种进口“巴”类流量计,很多国产厂家也推出了同类的产品。虽然测量原理都一样,但具体测量元件的设计差别很大,适用工况和测量表现也各不相同。加上流体力学本身又是个有些“玄乎”的学科,这让巴类流量计的选型更难总结出一个普适的规律。唯一基本达成的共识是“巴”类流量计的压损相比传统的孔板或V锥流量计小很多,因此能达到节约能源的目的。具体到现场如何选型,还是仔细研究一下各家的产品手册吧!